You are using an outdated browser. Please upgrade your browser to improve your experience.
Calculus cheat sheet

Calculus cheat sheet

Calculus cheat sheet

Calculus cheat sheet

by Clint Johnson
Calculus cheat sheet
Calculus cheat sheet
Calculus cheat sheet

What is it about?

Calculus cheat sheet

Calculus cheat sheet

App Details

Version
1.03
Rating
(10)
Size
1Mb
Genre
Education Reference
Last updated
June 28, 2011
Release date
December 4, 2009
More info

App Screenshots

Calculus cheat sheet screenshot-0
Calculus cheat sheet screenshot-1
Calculus cheat sheet screenshot-2
Calculus cheat sheet screenshot-3

App Store Description

Calculus cheat sheet

** Scroll and zoom around to find specific formula **

Containing all of your calculus needs. A wealth of information and a quick reference for important calculus formulas.


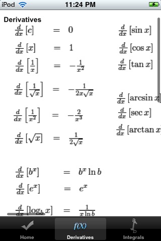
Derivatives:
- Common derivatives
- Product Rule
- Power Rule
- Chain Rule
- Quotient Rule

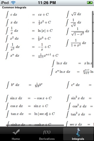
Integrals:
- Common Integrals
- Fundamental Theorem of Calculus
- Substitution
- Special Cases
- By Parts

Disclaimer:
AppAdvice does not own this application and only provides images and links contained in the iTunes Search API, to help our users find the best apps to download. If you are the developer of this app and would like your information removed, please send a request to takedown@appadvice.com and your information will be removed.